ЗМШ. 10-11 классы
Модератор: модераторы
-
PSP
- Администратор сайта
- Сообщения: 7203
- Зарегистрирован: Вс, 28 дек 2003, 11:47
- Откуда: Луга
- Контактная информация:
ЗМШ. 10-11 классы
В 2018-2019 уч. году у нас будет работать группа "Коллективный ученик" Заочной математической школы при Лицее "Физико-техническая школа" по программе ЗМШ для КУ 11 класса. Подробнее...
-
PSP
- Администратор сайта
- Сообщения: 7203
- Зарегистрирован: Вс, 28 дек 2003, 11:47
- Откуда: Луга
- Контактная информация:
Re: ЗМШ. 10-11 классы
Заочная математическая школа ( З М Ш )
В 2017–18 уч. г. математическое отделение Северо-Западной заочной математической школы возобновило свою работу под новым названием Заочная математическая школа при Лицее «Физико-техническая школа».
ЧТО ТАКОЕ Лицей «ФТШ»?
Официальное наименование: федеральное государственное бюджетное учреждение высшего образования и науки «Санкт-Петербургский национальный исследовательский Академический университет Российской академии наук», Академический лицей «Физико-техническая школа».
Основан в 1987 году группой сотрудников ФТИ им. А. Ф. Иоффе.
ФТШ – единственная в России школа, входящая в систему Российской академии наук.
Председатель Совета Лицея лауреат Нобелевской премии по физике Ж. И. Алферов.
ЧТО ТАКОЕ ЗМШ (обучение по системе «Коллективный ученик»)?
На протяжении учебного года изучаются 5-6 тем. После изучения теории решаются задачи более интересные, чем в обычных учебниках. Происходит это во время занятий группы, коллективно (традиционных домашних заданий нет, но желающие решают задачи и дома). Учащиеся высказывают идеи, догадки, происходят обсуждения и споры. Это очень увлекательно и полезно: школьники учатся чётко и грамотно излагать мысли, что важно не только в математике. Коллективная работа группы отправляется для проверки в С.-Петербург.
После проверки работы не выставляются оценки каждому учащемуся, а только всей группе: за выполненную работу, за каждый год, итоговая )при окончании ЗМШ). В конце 11-го класса каждый получает удостоверение об окончании ЗМШ.
НЕМНОГО ИСТОРИИИ
На протяжении около 30 лет группы «Коллективный ученик» ЗМШ работали в Луге под руководством преподавателя Павлова С. П.
Изучение математики не ограничивалось прохождением тем и решением задач. Проводились математические бои, аукционы, олимпиады, турниры, другие интересные соревнования. Ученики успешно участвовали в районных (муниципальных), областных (региональных), федеральных окружных, заключительных Всероссийских и международных мероприятиях. Школьники побывали в Москве, Петербурге, Ставрополе, Сочи, Великом Новгороде, Чебоксарах, Краснодаре, Владимире, Орле, Нижнем Новгороде, Осташкове, Петрозаводске, Выборге, Твери, Иванове, Волхове, Майкопе, Пскове, Судиславле и даже в Гамбурге. За победы они награждены многочисленными дипломами и призами.
В 2000-2013 гг. на областных олимпиадах победителями и призёрами во всех классах стали лужане: Р. Азимов, Г. Александров, С. Арефьев, М. Бауэр, В. Васильев, К. Грибов, Н. Елизарова, Н. Ерёменко, П. Жорникова, А. Ермаков, К. Зубанов, И. Ларионов, А. Лучко, И. Меженько, И. Мирошниченко, А. Морозов, А. Николаев, Д. Павлов, С. Павлова, В. Поликарпов, А. Расторгуев, Е. Самодумова, Г. Самсонов, Д. Семёнов, Е. Шавердова, А. Шубаков, Д. Шубаков, В. Щипцов (все – ученики ЗМШ); команда области на Федеральный окружной этап олимпиады по математике формировалась в большинстве своём из лужан.
Ученики ЗМШ поступают в ведущие ВУЗы страны. Победив на Федеральных окружных олимпиадах, ученики ЗМШ представляли Северо-Западный округ России на финалах Всероссийской олимпиады. Победители конкурса „Кенгуру” в России Н. Елизарова и В. Щипцов успешно выступали за нашу страну в международном лагере в Польше.
Ученики ЗМШ успешно участвовали в Международном математическом турнире городов. При этом не только становились его победителями и награждались дипломами, но и приглашались на Летние Международные конференции Турнира городов - 10 учеников ЗМШ были удостоены такой чести. В частности, лужанин А. Рыжков принимал участие в конференции в Гамбурге, а летом 2006 года лужане И. Меженько и Д. Павлов участвовали в работе конференции на озере Селигер.
ПРОГРАММА КУ 11 класса
Производная. Уравнение касательной (срок отправки - 30.10.18).
Варианты абитуриентских олимпиад (срок отправки - 05.12.18).
Площадь и интеграл (срок отправки - 10.01.19).
Показательные и логарифмические уравнения и неравенства (срок отправки - 15.02.19).
Варианты ЕГЭ (срок отправки - 20.03.19).
В 2017–18 уч. г. математическое отделение Северо-Западной заочной математической школы возобновило свою работу под новым названием Заочная математическая школа при Лицее «Физико-техническая школа».
ЧТО ТАКОЕ Лицей «ФТШ»?
Официальное наименование: федеральное государственное бюджетное учреждение высшего образования и науки «Санкт-Петербургский национальный исследовательский Академический университет Российской академии наук», Академический лицей «Физико-техническая школа».
Основан в 1987 году группой сотрудников ФТИ им. А. Ф. Иоффе.
ФТШ – единственная в России школа, входящая в систему Российской академии наук.
Председатель Совета Лицея лауреат Нобелевской премии по физике Ж. И. Алферов.
ЧТО ТАКОЕ ЗМШ (обучение по системе «Коллективный ученик»)?
На протяжении учебного года изучаются 5-6 тем. После изучения теории решаются задачи более интересные, чем в обычных учебниках. Происходит это во время занятий группы, коллективно (традиционных домашних заданий нет, но желающие решают задачи и дома). Учащиеся высказывают идеи, догадки, происходят обсуждения и споры. Это очень увлекательно и полезно: школьники учатся чётко и грамотно излагать мысли, что важно не только в математике. Коллективная работа группы отправляется для проверки в С.-Петербург.
После проверки работы не выставляются оценки каждому учащемуся, а только всей группе: за выполненную работу, за каждый год, итоговая )при окончании ЗМШ). В конце 11-го класса каждый получает удостоверение об окончании ЗМШ.
НЕМНОГО ИСТОРИИИ
На протяжении около 30 лет группы «Коллективный ученик» ЗМШ работали в Луге под руководством преподавателя Павлова С. П.
Изучение математики не ограничивалось прохождением тем и решением задач. Проводились математические бои, аукционы, олимпиады, турниры, другие интересные соревнования. Ученики успешно участвовали в районных (муниципальных), областных (региональных), федеральных окружных, заключительных Всероссийских и международных мероприятиях. Школьники побывали в Москве, Петербурге, Ставрополе, Сочи, Великом Новгороде, Чебоксарах, Краснодаре, Владимире, Орле, Нижнем Новгороде, Осташкове, Петрозаводске, Выборге, Твери, Иванове, Волхове, Майкопе, Пскове, Судиславле и даже в Гамбурге. За победы они награждены многочисленными дипломами и призами.
В 2000-2013 гг. на областных олимпиадах победителями и призёрами во всех классах стали лужане: Р. Азимов, Г. Александров, С. Арефьев, М. Бауэр, В. Васильев, К. Грибов, Н. Елизарова, Н. Ерёменко, П. Жорникова, А. Ермаков, К. Зубанов, И. Ларионов, А. Лучко, И. Меженько, И. Мирошниченко, А. Морозов, А. Николаев, Д. Павлов, С. Павлова, В. Поликарпов, А. Расторгуев, Е. Самодумова, Г. Самсонов, Д. Семёнов, Е. Шавердова, А. Шубаков, Д. Шубаков, В. Щипцов (все – ученики ЗМШ); команда области на Федеральный окружной этап олимпиады по математике формировалась в большинстве своём из лужан.
Ученики ЗМШ поступают в ведущие ВУЗы страны. Победив на Федеральных окружных олимпиадах, ученики ЗМШ представляли Северо-Западный округ России на финалах Всероссийской олимпиады. Победители конкурса „Кенгуру” в России Н. Елизарова и В. Щипцов успешно выступали за нашу страну в международном лагере в Польше.
Ученики ЗМШ успешно участвовали в Международном математическом турнире городов. При этом не только становились его победителями и награждались дипломами, но и приглашались на Летние Международные конференции Турнира городов - 10 учеников ЗМШ были удостоены такой чести. В частности, лужанин А. Рыжков принимал участие в конференции в Гамбурге, а летом 2006 года лужане И. Меженько и Д. Павлов участвовали в работе конференции на озере Селигер.
ПРОГРАММА КУ 11 класса
Производная. Уравнение касательной (срок отправки - 30.10.18).
Варианты абитуриентских олимпиад (срок отправки - 05.12.18).
Площадь и интеграл (срок отправки - 10.01.19).
Показательные и логарифмические уравнения и неравенства (срок отправки - 15.02.19).
Варианты ЕГЭ (срок отправки - 20.03.19).
-
PSP
- Администратор сайта
- Сообщения: 7203
- Зарегистрирован: Вс, 28 дек 2003, 11:47
- Откуда: Луга
- Контактная информация:
Re: ЗМШ. 10-11 классы
Тема 1. "Производная. Уравнение касательной".
Условия задач контрольной работы
№ 1 (3 в). Выясните, лежат ли точки А(58; 69), B(30;40), С(3;12) на одной прямой.
№ 1 доп. (4 а). На прямых y = k1x + b1 и y = k2x + b
2 выбраны точки P1 и P2 с абсциссой р, точки Q1 и Q2 с абсциссой q и точки R1и R2 с абсциссой r. Докажите, что середины отрезков P1P2, Q1Q2, R1R2 лежат на одной прямой.
№ 2 доп. (4 б) Докажите, что в любой трапеции середины оснований и точка пересечения диагоналей лежат на одной прямой.
№ 2. Напишите уравнение прямой AB, если точки A и B лежат на параболе y = x2 и имеют абсциссы p и q.
№ 3 доп. (10 б). Докажите, что середины всех отрезков с концами на гиперболе y = 1/x, параллельных заданной прямой, лежат на одной прямой, перпендикулярна оси абсцисс.
№ 4 доп. (11 а). Докажите, что прямые y = k1x + b1 и y = k2x + b2 взаимно перпендикулярны в том и только том случае, если k1k2 = -1.
№ 5 доп. (11 б). Напишите уравнение прямой, проходящей через точку A(2;5) и перпендикулярной прямой y = 2/3x - 7.
№ 3 (12 а). Докажите, что если прямые y = k1x + b1 и y = k2x + b2 пересекаются и не перпендикулярны, то тангенс угла между этими прямыми равен (k1 - k2)/(1 + k1k2)
№ 4 (12 б). найдите уравнения прямых, проходящих через точку A(2;-2) и пересекающих под углом 45o прямую y = 2x - 3.
№ 5 (17). Найдите уравнение' касательной к графику функции y = x5 + 4x + 3 в точке с ординатой 3.
№ 6 (18). Найдите уравнения касательных, проведённых к кубической параболе y = x3 параллельно прямой y = 12x + 1.
№ 7 (19). В какой точке кривой y = 3x - x2 касательная наклонена к оси абсцисс под углом 45o?
№ 8 (20). К графику функции y = (x + 1)sqrt(x) проведена касательная в той точке, где угловой коэффициент равен 2, причём касательная не проходит через начало координат. Найдите точки пересечения этой касательной с координатными осями.
(Через sqrt(x) обозначен квадратный корень из x.)
(Окончание ниже.)
Условия задач контрольной работы
№ 1 (3 в). Выясните, лежат ли точки А(58; 69), B(30;40), С(3;12) на одной прямой.
№ 1 доп. (4 а). На прямых y = k1x + b1 и y = k2x + b
2 выбраны точки P1 и P2 с абсциссой р, точки Q1 и Q2 с абсциссой q и точки R1и R2 с абсциссой r. Докажите, что середины отрезков P1P2, Q1Q2, R1R2 лежат на одной прямой.
№ 2 доп. (4 б) Докажите, что в любой трапеции середины оснований и точка пересечения диагоналей лежат на одной прямой.
№ 2. Напишите уравнение прямой AB, если точки A и B лежат на параболе y = x2 и имеют абсциссы p и q.
№ 3 доп. (10 б). Докажите, что середины всех отрезков с концами на гиперболе y = 1/x, параллельных заданной прямой, лежат на одной прямой, перпендикулярна оси абсцисс.
№ 4 доп. (11 а). Докажите, что прямые y = k1x + b1 и y = k2x + b2 взаимно перпендикулярны в том и только том случае, если k1k2 = -1.
№ 5 доп. (11 б). Напишите уравнение прямой, проходящей через точку A(2;5) и перпендикулярной прямой y = 2/3x - 7.
№ 3 (12 а). Докажите, что если прямые y = k1x + b1 и y = k2x + b2 пересекаются и не перпендикулярны, то тангенс угла между этими прямыми равен (k1 - k2)/(1 + k1k2)
№ 4 (12 б). найдите уравнения прямых, проходящих через точку A(2;-2) и пересекающих под углом 45o прямую y = 2x - 3.
№ 5 (17). Найдите уравнение' касательной к графику функции y = x5 + 4x + 3 в точке с ординатой 3.
№ 6 (18). Найдите уравнения касательных, проведённых к кубической параболе y = x3 параллельно прямой y = 12x + 1.
№ 7 (19). В какой точке кривой y = 3x - x2 касательная наклонена к оси абсцисс под углом 45o?
№ 8 (20). К графику функции y = (x + 1)sqrt(x) проведена касательная в той точке, где угловой коэффициент равен 2, причём касательная не проходит через начало координат. Найдите точки пересечения этой касательной с координатными осями.
(Через sqrt(x) обозначен квадратный корень из x.)
(Окончание ниже.)
-
PSP
- Администратор сайта
- Сообщения: 7203
- Зарегистрирован: Вс, 28 дек 2003, 11:47
- Откуда: Луга
- Контактная информация:
Re: ЗМШ, 10-11 классы
Тема 1. "Производная. Уравнение касательной".
Условия задач контрольной работы
(Окончание. Начало см. выше.)
№ 9 (21). При каком значении a касательная к графику функции y = a - x2 отсекает от первой четверти равнобедренный прямоугольный треугольник о площадью, равной 9/32 ?
№ 10 (22). Найдите уравнения-общих касательных к параболам y = x2 + x + 1 и y = -x2 + x - 1.
№ 11 (23). В каких точках и под каким углом пересекаются графики функций y = sin x и y = cos x?
№ 12 (3). Докажите, что касательная к гиперболе y = 1/x имеет с ней только одну общую точку.
№ 13 (4). Докажите, что прямая, не параллельная осям координат и имеющая с гиперболой y = 1/x только одну общую точку, является касательной к этой гиперболе.
№ 14 (10). Докажите, что любая касательная к параболе y = x2 пересекает прямые y = 1/4, y = -1/4 в точках, равноудалённых от точки (0;1/4).
№ 9 доп. (12). Через произвольную точку оси абсцисс проведены две прямые, одна из которых касается параболы y = x2 (и не совпадает с осью абсцисс), а другая проходит через точку (0; 1/4). Докажите , что эти прямые взаимно перпендикулярны.
№ 15 (13). Докажите. что любая касательная к гиперболе y = 1/x образует равные по величине углы с двумя прямыми, одна из которых проходит через точку касания и точку (sqrt(2); sqrt(2)), а другая - через точку касания и точку (-sqrt(2); -sqrt(2)).
№ 16 (14). Докажите, что отрезок любой касательной к гиперболе y = 1/x, заключённый между осями координат, делится точкой касания пополам.
№ 10 доп. (15). Докажите. что произведение расстояний от точек (sqrt(2); sqrt(2)) и (-sqrt(2); -sqrt(2)) до произвольной касательной к гиперболе равно 2.
(Через sqrt(x) обозначен квадратный корень из x.)
Условия задач контрольной работы
(Окончание. Начало см. выше.)
№ 9 (21). При каком значении a касательная к графику функции y = a - x2 отсекает от первой четверти равнобедренный прямоугольный треугольник о площадью, равной 9/32 ?
№ 10 (22). Найдите уравнения-общих касательных к параболам y = x2 + x + 1 и y = -x2 + x - 1.
№ 11 (23). В каких точках и под каким углом пересекаются графики функций y = sin x и y = cos x?
№ 12 (3). Докажите, что касательная к гиперболе y = 1/x имеет с ней только одну общую точку.
№ 13 (4). Докажите, что прямая, не параллельная осям координат и имеющая с гиперболой y = 1/x только одну общую точку, является касательной к этой гиперболе.
№ 14 (10). Докажите, что любая касательная к параболе y = x2 пересекает прямые y = 1/4, y = -1/4 в точках, равноудалённых от точки (0;1/4).
№ 9 доп. (12). Через произвольную точку оси абсцисс проведены две прямые, одна из которых касается параболы y = x2 (и не совпадает с осью абсцисс), а другая проходит через точку (0; 1/4). Докажите , что эти прямые взаимно перпендикулярны.
№ 15 (13). Докажите. что любая касательная к гиперболе y = 1/x образует равные по величине углы с двумя прямыми, одна из которых проходит через точку касания и точку (sqrt(2); sqrt(2)), а другая - через точку касания и точку (-sqrt(2); -sqrt(2)).
№ 16 (14). Докажите, что отрезок любой касательной к гиперболе y = 1/x, заключённый между осями координат, делится точкой касания пополам.
№ 10 доп. (15). Докажите. что произведение расстояний от точек (sqrt(2); sqrt(2)) и (-sqrt(2); -sqrt(2)) до произвольной касательной к гиперболе равно 2.
(Через sqrt(x) обозначен квадратный корень из x.)
-
PSP
- Администратор сайта
- Сообщения: 7203
- Зарегистрирован: Вс, 28 дек 2003, 11:47
- Откуда: Луга
- Контактная информация:
Re: ЗМШ. 10-11 классы
ПРАВИЛА ОФОРМЛЕНИЯ РЕШЕНИЙ ЗАДАЧ
1. Решения оформляются на белых листах бумаги формата А4.
2. Мять (складывать) листы нельзя.
3. Писать следует только С ОДНОЙ СТОРОНЫ листа.
4.Сверху, снизу, слева, справа листа - поля 1-2 см.
5. Записи (в том числе, рисунки) делаются контрастной шариковой или гелевой ручкой чёрного или синего цвета.
6. Сначала пишется ДВОЙНОЙ НОМЕР задачи, затем - условие, потом - решение.
7. Подписывать работу НЕ НАДО.
1. Решения оформляются на белых листах бумаги формата А4.
2. Мять (складывать) листы нельзя.
3. Писать следует только С ОДНОЙ СТОРОНЫ листа.
4.Сверху, снизу, слева, справа листа - поля 1-2 см.
5. Записи (в том числе, рисунки) делаются контрастной шариковой или гелевой ручкой чёрного или синего цвета.
6. Сначала пишется ДВОЙНОЙ НОМЕР задачи, затем - условие, потом - решение.
7. Подписывать работу НЕ НАДО.
-
PSP
- Администратор сайта
- Сообщения: 7203
- Зарегистрирован: Вс, 28 дек 2003, 11:47
- Откуда: Луга
- Контактная информация:
Re: ЗМШ. 10-11 классы
ШОКОЛАД ЖДЁТ
На занятии 13 сентября Лукашов Никита пообещал шоколадку тому, кто решит задачу 15 (13).
(Первоначально, увы, неправильно был указан номер задачи...)
На занятии 13 сентября Лукашов Никита пообещал шоколадку тому, кто решит задачу 15 (13).
(Первоначально, увы, неправильно был указан номер задачи...)
-
PSP
- Администратор сайта
- Сообщения: 7203
- Зарегистрирован: Вс, 28 дек 2003, 11:47
- Откуда: Луга
- Контактная информация:
Re: ЗМШ. 10-11 классы
Тема 2. "Варианты абитуриентских олимпиад".
Условия задач контрольной работы
1. На острове 4/5 всех мужчин женаты, и 5/6 всех женщин замужем. Какая доля населения острова состоит в браке?
2. Осьминоги с чётным числом ног всегда лгут, а осьминоги с неч`тным числом ног всегда говорят правду. Встретились пять осьминогов, у каждого из которых было от 7 до 9 ног. Первый сказал: “Вместе у нас 36 ног”, второй: “Вместе у нас 37 ног”, третий: “Вместе у нас 38 ног”, четвёртый: “Вместе у нас 39 ног”, пятый: “Вместе у нас 40 ног”. Сколько ног у них было на самом деле?
3. Скуперфильд хочет выплатить наложенный на него штраф в 1000 фертингов монетами в 11 фертингов и в 23 фертинга. Каким наименьшим количеством монет он может обойтись?
4. В шаре диаметром 13 см точно по центру высверлили вертикальное отверстие диаметром 5 см. Какую высоту (в сантиметрах) имеет оставшаяся фигура?
5. Каждую секунду число x на доске заменяют на число 2x/(1-x2). В начале было написано число 2-sort(3). Какое число будет написано на доске через минуту?
(Через sqrt(n) обозначен квадратный корень из n.)
6. Точки M, N, P, K – соответственно середины сторон BC, CD, DA и AB выпуклого четырёхугольника ABCD. Отрезки AM и KC пересекаются в точке E, а отрезки AN и CP – в точке F. Найдите площадь четырёхугольника ECFA, если площадь четырёхугольника ABCD равна 48.
Условия задач контрольной работы
1. На острове 4/5 всех мужчин женаты, и 5/6 всех женщин замужем. Какая доля населения острова состоит в браке?
2. Осьминоги с чётным числом ног всегда лгут, а осьминоги с неч`тным числом ног всегда говорят правду. Встретились пять осьминогов, у каждого из которых было от 7 до 9 ног. Первый сказал: “Вместе у нас 36 ног”, второй: “Вместе у нас 37 ног”, третий: “Вместе у нас 38 ног”, четвёртый: “Вместе у нас 39 ног”, пятый: “Вместе у нас 40 ног”. Сколько ног у них было на самом деле?
3. Скуперфильд хочет выплатить наложенный на него штраф в 1000 фертингов монетами в 11 фертингов и в 23 фертинга. Каким наименьшим количеством монет он может обойтись?
4. В шаре диаметром 13 см точно по центру высверлили вертикальное отверстие диаметром 5 см. Какую высоту (в сантиметрах) имеет оставшаяся фигура?
5. Каждую секунду число x на доске заменяют на число 2x/(1-x2). В начале было написано число 2-sort(3). Какое число будет написано на доске через минуту?
(Через sqrt(n) обозначен квадратный корень из n.)
6. Точки M, N, P, K – соответственно середины сторон BC, CD, DA и AB выпуклого четырёхугольника ABCD. Отрезки AM и KC пересекаются в точке E, а отрезки AN и CP – в точке F. Найдите площадь четырёхугольника ECFA, если площадь четырёхугольника ABCD равна 48.
-
PSP
- Администратор сайта
- Сообщения: 7203
- Зарегистрирован: Вс, 28 дек 2003, 11:47
- Откуда: Луга
- Контактная информация:
Re: ЗМШ. 10-11 классы
РЕЗУЛЬТАТЫ ПРОВЕРКИ
контрольной работы по теме № 1 "Производная. Уравнение касательной"
Оценки "+" за все задачи, кроме:
задачи № 3 (12а), за которую оценка "-+",
задачи № 11(23), за которую оценка "+-",
задачи № 12(3), за которую оценка "+-"
Оценка: 5.
Из рецензии на работу
Задача № 3(12а)
1. Вы доказывали, что искомый тангенс равен (k1-k2)/(1+k1k2), между тем в условии написано, что искомый тангенс равен модулю этого выражения. Очевидные соображения показывают, что ваш ответ не может быть безоговорочно верным. В самом деле, величина изменяется даже при изменении нумерации прямых, тогда как угол между двумя прямыми при этом остаЁтся тот же.
2. Ваши выкладки справедливы для одного из возможных вариантов расположения прямых. В этом варианте угол наклона первой прямой – тупой, угол наклона второй – острый, и к тому же их разность больше 90 градусов. Есть и другие варианты расположения прямых, при которых связь между α, β –другая. Но в любом случае tg оказывается неотрицательным. Это и нужно показать. Для этого можно изучить все мыслимые варианты расположения прямых, но можно сэкономить усилия.
В любом случае выражение (k1-k2)/(1+k1k2) даёт тангенс разности углов наклона. Эта разность с точностью до знака (а он зависит от нумерации прямых, какая из них – 1-я, какая –2-я) совпадает с одним из двух углов, образующихся при пересечении прямых, причём сумма этих углов равна 18-0 градусам, поэтому их тангенсы противоположны. Изменение нумерации тоже приводит лишь к изменению знака у тангенса разности. Таким образом, (k1-k2)/(1+k1k2) может отличаться от искомого тангенса разве лишь знаком. Но углом между прямыми называется меньший из двух упомянутых выше углов, тем самым он – не больше прямого, а значит, тангенс его неотрицателен. Поэтому он всегда равен модулю выражения (k1-k2)/(1+k1k2).
Задача № 11(23)
Найти точки пересечения значит найти их абсциссы и их ординаты.
Задача № 12 (3)
Уравнение касательной в точке с абсциссой x0 Вы записали так: y =f(x0) - 1/x2*(x-x0). Во-первых, странно, что слагаемое f(x0) (значение функции в точке касания) оставлено здесь в общем виде, а угловой коэффициент (производная в точке касания) – уже для конкретной функции. Впрочем, главное – что в этой записи есть ошибка и по существу. Производная в точке касания равна -1/x02 , а в вашей записи стоит вместо этого -1/x2. В таком виде это не только уравнение касательной, это и вовсе – не уравнение прямой (ведь оно – не линейное). К счастью, при дальнейших преобразованиях -1/x2 превратилось в -1/x02, так что на результате это недоразумение не сказалось.
И отдельный привет Сергею Забиякину (уже от меня, а не от проверяющего)
Он, увы, не воспринял требование о написании решения КОНТРАСТНОЙ ПАСТОЙ или ГЕЛЕВОЙ РУЧКОЙ.
Как результат - скан с его решением оказался очень плохо читаемым.
контрольной работы по теме № 1 "Производная. Уравнение касательной"
Оценки "+" за все задачи, кроме:
задачи № 3 (12а), за которую оценка "-+",
задачи № 11(23), за которую оценка "+-",
задачи № 12(3), за которую оценка "+-"
Оценка: 5.
Из рецензии на работу
Задача № 3(12а)
1. Вы доказывали, что искомый тангенс равен (k1-k2)/(1+k1k2), между тем в условии написано, что искомый тангенс равен модулю этого выражения. Очевидные соображения показывают, что ваш ответ не может быть безоговорочно верным. В самом деле, величина изменяется даже при изменении нумерации прямых, тогда как угол между двумя прямыми при этом остаЁтся тот же.
2. Ваши выкладки справедливы для одного из возможных вариантов расположения прямых. В этом варианте угол наклона первой прямой – тупой, угол наклона второй – острый, и к тому же их разность больше 90 градусов. Есть и другие варианты расположения прямых, при которых связь между α, β –другая. Но в любом случае tg оказывается неотрицательным. Это и нужно показать. Для этого можно изучить все мыслимые варианты расположения прямых, но можно сэкономить усилия.
В любом случае выражение (k1-k2)/(1+k1k2) даёт тангенс разности углов наклона. Эта разность с точностью до знака (а он зависит от нумерации прямых, какая из них – 1-я, какая –2-я) совпадает с одним из двух углов, образующихся при пересечении прямых, причём сумма этих углов равна 18-0 градусам, поэтому их тангенсы противоположны. Изменение нумерации тоже приводит лишь к изменению знака у тангенса разности. Таким образом, (k1-k2)/(1+k1k2) может отличаться от искомого тангенса разве лишь знаком. Но углом между прямыми называется меньший из двух упомянутых выше углов, тем самым он – не больше прямого, а значит, тангенс его неотрицателен. Поэтому он всегда равен модулю выражения (k1-k2)/(1+k1k2).
Задача № 11(23)
Найти точки пересечения значит найти их абсциссы и их ординаты.
Задача № 12 (3)
Уравнение касательной в точке с абсциссой x0 Вы записали так: y =f(x0) - 1/x2*(x-x0). Во-первых, странно, что слагаемое f(x0) (значение функции в точке касания) оставлено здесь в общем виде, а угловой коэффициент (производная в точке касания) – уже для конкретной функции. Впрочем, главное – что в этой записи есть ошибка и по существу. Производная в точке касания равна -1/x02 , а в вашей записи стоит вместо этого -1/x2. В таком виде это не только уравнение касательной, это и вовсе – не уравнение прямой (ведь оно – не линейное). К счастью, при дальнейших преобразованиях -1/x2 превратилось в -1/x02, так что на результате это недоразумение не сказалось.
И отдельный привет Сергею Забиякину (уже от меня, а не от проверяющего)
Он, увы, не воспринял требование о написании решения КОНТРАСТНОЙ ПАСТОЙ или ГЕЛЕВОЙ РУЧКОЙ.
Как результат - скан с его решением оказался очень плохо читаемым.
-
PSP
- Администратор сайта
- Сообщения: 7203
- Зарегистрирован: Вс, 28 дек 2003, 11:47
- Откуда: Луга
- Контактная информация:
Re: ЗМШ. 10-11 классы
Тема 3. "Площадь и интеграл".
Условия задач контрольной работы
В задачах 1-8 требуется найти площади фигур, ограниченных заданными линиями:
1. y = cos2x– sin2x, y = 0, x = 0, x = Pi/4.
2. y = |x| + 1, y = 0, x = -2, x = 1.
3. y = x2, x = 1.
4. x = y2, x = 0, y = 2, y = -2.
5. y = sin x, y = x2 - Pi x.
6. y = |x2 - 1|, y = 0, x = -2, x = 2.
7. y = x2, y = sqr(x).
Символом sqr(x) обозначен квадратный корень из x.)
8. y = -x2 + 4x - 3 и касательная к этому графику в его точках (0; -3) и (3;0).
9. Найти объём тела, полученного вращением фигуры, образованной параболой y = x2 + 1 и прямой y = 3x - 1, вокруг оси Ox.
10. Найти объём тела ""бублика"), полученного вращением круга (x - 2)2 + y2 ≤ 1 вокруг оси Oy.
Условия задач контрольной работы
В задачах 1-8 требуется найти площади фигур, ограниченных заданными линиями:
1. y = cos2x– sin2x, y = 0, x = 0, x = Pi/4.
2. y = |x| + 1, y = 0, x = -2, x = 1.
3. y = x2, x = 1.
4. x = y2, x = 0, y = 2, y = -2.
5. y = sin x, y = x2 - Pi x.
6. y = |x2 - 1|, y = 0, x = -2, x = 2.
7. y = x2, y = sqr(x).
Символом sqr(x) обозначен квадратный корень из x.)
8. y = -x2 + 4x - 3 и касательная к этому графику в его точках (0; -3) и (3;0).
9. Найти объём тела, полученного вращением фигуры, образованной параболой y = x2 + 1 и прямой y = 3x - 1, вокруг оси Ox.
10. Найти объём тела ""бублика"), полученного вращением круга (x - 2)2 + y2 ≤ 1 вокруг оси Oy.
-
PSP
- Администратор сайта
- Сообщения: 7203
- Зарегистрирован: Вс, 28 дек 2003, 11:47
- Откуда: Луга
- Контактная информация:
Re: ЗМШ. 10-11 классы
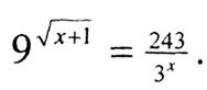
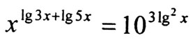
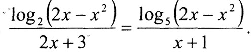
Тема 4. "Показательные и логарифмические уравнения и неравенства".
Условия задач контрольной работы
№ 1 (1). Решите уравнение 3x•52x-1 = 15.
№ 2 (2). Решите уравнение
№ 3 (3). Решите уравнение (x2 + 1)2x-1 = 1.
№ 4 (5). Решите уравнение 4x+3 + 22x+2 = 51.
№ 5 (7). Решите уравнение
№ 6 (9). Решите уравнение 4x + 52x+1 = 6•10x.
№ 7 (10). Решите уравнение 4x + 7x = 65.
№ 8 (13). Решите уравнение
№ 9 (15). Решите уравнение log 6-x x = 2.
№ 10 (17). Решите уравнение log3 (lg(2x+14) + lg(x+12) = 1.
№ 11 (19). Решите уравнение x(1-lg5) = lg(2x + x – 3).
№ 12 (22). Решите уравнение уравнение log 3( 3x –1)• log 3( 3x+1 –3) = 6.
№ 13 (24). Решите уравнение
№ 14 (26). Решите уравнение
№ 15 (28). Решите уравнение
№ 16 (29). Решите уравнение x•log3 x = 18.
№ 17 (32). Решите неравенство
№ 18 (33). Решите неравенство
№ 19 (36). Решите неравенство log x-1 (x2 – 6x + 1) ≥ 0.
№ 20 (40). Решите неравенство
№ 21 (41). Решите уравнение
№ 22 (42). Решите уравнение
№ 23 (43). Решите уравнение
№ 24 (44). Решите уравнение
Условия задач контрольной работы
№ 1 (1). Решите уравнение 3x•52x-1 = 15.
№ 2 (2). Решите уравнение
№ 3 (3). Решите уравнение (x2 + 1)2x-1 = 1.
№ 4 (5). Решите уравнение 4x+3 + 22x+2 = 51.
№ 5 (7). Решите уравнение
№ 6 (9). Решите уравнение 4x + 52x+1 = 6•10x.
№ 7 (10). Решите уравнение 4x + 7x = 65.
№ 8 (13). Решите уравнение
№ 9 (15). Решите уравнение log 6-x x = 2.
№ 10 (17). Решите уравнение log3 (lg(2x+14) + lg(x+12) = 1.
№ 11 (19). Решите уравнение x(1-lg5) = lg(2x + x – 3).
№ 12 (22). Решите уравнение уравнение log 3( 3x –1)• log 3( 3x+1 –3) = 6.
№ 13 (24). Решите уравнение
№ 14 (26). Решите уравнение
№ 15 (28). Решите уравнение
№ 16 (29). Решите уравнение x•log3 x = 18.
№ 17 (32). Решите неравенство
№ 18 (33). Решите неравенство
№ 19 (36). Решите неравенство log x-1 (x2 – 6x + 1) ≥ 0.
№ 20 (40). Решите неравенство
№ 21 (41). Решите уравнение
№ 22 (42). Решите уравнение
№ 23 (43). Решите уравнение
№ 24 (44). Решите уравнение
-
PSP
- Администратор сайта
- Сообщения: 7203
- Зарегистрирован: Вс, 28 дек 2003, 11:47
- Откуда: Луга
- Контактная информация:
Re: ЗМШ. 10-11 классы
РЕЗУЛЬТАТ проверки КОНТРОЛЬНОЙ РАБОТЫ ПО ТЕМЕ № 2
"Варианты абитуриентских олимпиад"
Оценка: 5.
Замечаний нет.
"Варианты абитуриентских олимпиад"
Оценка: 5.
Замечаний нет.
-
PSP
- Администратор сайта
- Сообщения: 7203
- Зарегистрирован: Вс, 28 дек 2003, 11:47
- Откуда: Луга
- Контактная информация:
Re: ЗМШ. 10-11 классы
РЕЗУЛЬТАТЫ ПРОВЕРКИ
контрольной работы по теме № 3 "Площадь и интеграл"
Оценки "+" за все задачи.
Оценка: 5.
Замечаний нет.
Комментарий рецензента к задаче № 10.
Для большей поучительности рекомендуем обобщить задачу – взять круг общего вида, то есть радиуса r с центром в точке (R; 0) . Это ничуть не труднее, чем те же выкладки с конкретными числами. Тогда получится общая (и общеизвестная) формула объема тора с радиусами r и R (при r ≤R , то есть, без самопересечений).
Когда получите итоговую формулу, обратите внимание на одно ее занятное свойство. Объем тора – такой же, как у цилиндра высотой 2PiR и с радиусом основания r. То есть объем тора сохранится, если мы, «разомкнем» его в каком то месте и выпрямим, сохраняя длину «средней» линии (для тора это окружность, для цилиндра – высота, соединяющая центры оснований). Понятно, что при такой деформации одни части тора (ближе к внешней стороне) будут сжиматься, другие (ближе к «дырке») – растягиваться. Заранее нельзя было предвидеть, что одно в точности скомпенсирует другое. Но это так и есть, что и доказывает упомянутая формула.
контрольной работы по теме № 3 "Площадь и интеграл"
Оценки "+" за все задачи.
Оценка: 5.
Замечаний нет.
Комментарий рецензента к задаче № 10.
Для большей поучительности рекомендуем обобщить задачу – взять круг общего вида, то есть радиуса r с центром в точке (R; 0) . Это ничуть не труднее, чем те же выкладки с конкретными числами. Тогда получится общая (и общеизвестная) формула объема тора с радиусами r и R (при r ≤R , то есть, без самопересечений).
Когда получите итоговую формулу, обратите внимание на одно ее занятное свойство. Объем тора – такой же, как у цилиндра высотой 2PiR и с радиусом основания r. То есть объем тора сохранится, если мы, «разомкнем» его в каком то месте и выпрямим, сохраняя длину «средней» линии (для тора это окружность, для цилиндра – высота, соединяющая центры оснований). Понятно, что при такой деформации одни части тора (ближе к внешней стороне) будут сжиматься, другие (ближе к «дырке») – растягиваться. Заранее нельзя было предвидеть, что одно в точности скомпенсирует другое. Но это так и есть, что и доказывает упомянутая формула.
-
PSP
- Администратор сайта
- Сообщения: 7203
- Зарегистрирован: Вс, 28 дек 2003, 11:47
- Откуда: Луга
- Контактная информация:
Re: ЗМШ. 10-11 классы
ВНИМАНИЕ! ВНИМАНИЕ! ВНИМАНИЕ!
В выложенных условиях задач контрольной работы по теме № 4 (см. пост от 6 декабря 2018 г.) допущено несколько опечаток.
Сегодня, наконец-таки, исправлены опечатки в условиях задач №№ 3(3), 12(22).
Будьте внимательны при оформлении решений задач!
В выложенных условиях задач контрольной работы по теме № 4 (см. пост от 6 декабря 2018 г.) допущено несколько опечаток.
Сегодня, наконец-таки, исправлены опечатки в условиях задач №№ 3(3), 12(22).
Будьте внимательны при оформлении решений задач!
-
PSP
- Администратор сайта
- Сообщения: 7203
- Зарегистрирован: Вс, 28 дек 2003, 11:47
- Откуда: Луга
- Контактная информация:
Re: ЗМШ. 10-11 классы
Тема 5. "Варианты ЕГЭ".
Условия задач контрольной работы
№ 1. а) Решите уравнение 2cosx + sin2x = 2cos3x.
б). Укажите его корни из интервала [ -9PI/2; -3PI]
№ 2. В треугольной пирамиде SABC известны все боковые рёбра: SA = SB = 7, SC = 5. Основанием высоты этой пирамиды является середина медианы CM треугольника ABC. Высота пирамиды равна 4.
а) Докажите, что треугольник ABC – равнобедренный.
б) Найдите площадь треугольника ABC
№ 3. Решите неравенство .
№ 4. Квадрат ABCD вписан в окружность. Хорда CE пересекает его диагональ BD в точке K.
а) Докажите, что CK•CE = AB•CD.
б) Найдите отношение CK : KE, если угол ECD = 15o.
№ 5. Банковский кредит на сумму 200 000 рублей, взятый под r% годовых (проценты ежегодно добавляются к сумме долга перед выплатой по кредиту), выплатили за 2 года платежами 130 000 рублей в первый год и 150 000 рублей — во второй. Найдите r.
№ 6. Найдите все значения параметра a, при которых уравнение имеет ровно один положительный корень.
№ 7. С натуральным числом проводят следующую операцию: между каждыми двумя его соседними цифрами записывают сумму этих цифр (например, из числа 1923 получается число 110911253).
а) Приведите пример числа, из которого получается 4106137125.
б) Может ли из какого-нибудь числа получиться число 27593118?
в) Какое наибольшее число, кратное 9, может получиться из трёхзначного числа, в десятичной записи которого нет девяток?
Условия задач контрольной работы
№ 1. а) Решите уравнение 2cosx + sin2x = 2cos3x.
б). Укажите его корни из интервала [ -9PI/2; -3PI]
№ 2. В треугольной пирамиде SABC известны все боковые рёбра: SA = SB = 7, SC = 5. Основанием высоты этой пирамиды является середина медианы CM треугольника ABC. Высота пирамиды равна 4.
а) Докажите, что треугольник ABC – равнобедренный.
б) Найдите площадь треугольника ABC
№ 3. Решите неравенство .
№ 4. Квадрат ABCD вписан в окружность. Хорда CE пересекает его диагональ BD в точке K.
а) Докажите, что CK•CE = AB•CD.
б) Найдите отношение CK : KE, если угол ECD = 15o.
№ 5. Банковский кредит на сумму 200 000 рублей, взятый под r% годовых (проценты ежегодно добавляются к сумме долга перед выплатой по кредиту), выплатили за 2 года платежами 130 000 рублей в первый год и 150 000 рублей — во второй. Найдите r.
№ 6. Найдите все значения параметра a, при которых уравнение имеет ровно один положительный корень.
№ 7. С натуральным числом проводят следующую операцию: между каждыми двумя его соседними цифрами записывают сумму этих цифр (например, из числа 1923 получается число 110911253).
а) Приведите пример числа, из которого получается 4106137125.
б) Может ли из какого-нибудь числа получиться число 27593118?
в) Какое наибольшее число, кратное 9, может получиться из трёхзначного числа, в десятичной записи которого нет девяток?
-
PSP
- Администратор сайта
- Сообщения: 7203
- Зарегистрирован: Вс, 28 дек 2003, 11:47
- Откуда: Луга
- Контактная информация:
Re: ЗМШ. 10-11 классы
ИСПРАВЛЕНА ОПЕЧАТКА В УСЛОВИИ ЗАДАЧИ № 4.
Спасибо Никите Лукашову за бдительность!
Спасибо Никите Лукашову за бдительность!
Кто сейчас на конференции
Сейчас этот форум просматривают: нет зарегистрированных пользователей и 35 гостей